Fantasy Football Scout community writer Greyhead returns for the 2023/24 season with his series of Great and The Good articles, analysing the transfers and strategies of some well-known Fantasy Premier League (FPL) managers.
This season’s names are the BlackBox pair of Mark Sutherns and Az, Scouts Joe Lepper and Tom Freeman, Scoutcasters Seb Wassell and Andy North, Pro Pundits FPL General, Pras, Zophar and FPL Harry, FPL ‘celebrities’ LTFPL Andy and Ben Crellin, FPL champion FPL Gunz, Hall of Famers Fabio Borges, Finn Sollie, Jan Kepski and Jon Ballantyne, and last year’s mini-league winner Marko Miseric.
“Don’t stand, don’t stand so
“Don’t stand so close to me”
The Great and The Good are twinning this week with only four points separating the top eight managers in this league of FPL Illuminati.
There were some huge scores across the community with highs and lows across the four days of fixtures, with those Julian Alvarez (£7.0m) captainers who celebrated early left to shout “No Mo, No!” as the departing Egyptian left them in denial.
Cole Palmer (£5.6m) also brought pain, pleasure plus a degree of hindsight smugness – depending on whether you benched him – with his Saturday lunchtime brace before that unlikely hero Alphonso Areola (£4.2m) continued his happy days with a second successive double-digit performance.
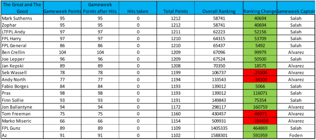
OVERALL PERFORMANCE

Ben Crellin hit his second century of the season in Gameweek 20 and had the audacity to not even captain Mohamed Salah (£13.2m). As a man who knows a thing or two about fixtures, it’s worth noting that he already has triple Manchester City coverage. Planning for a Double Gameweek may be closer than you think.
As mentioned, the top of the table is exceptionally close, with Zophar level with Mark Sutherns. However, the chasing pack of Ben, Joe Lepper, LTFPL Andy, FPL Harry, FPL General and Jan Kepski are only a couple of appearance points behind.
Swing season is approaching due to the leave of absence for both Salah and Son Heung-min (£9.8m), meaning the backfill decisions for these two heavy hitters will be key. Jarrod Bowen (£8.1m), Richarlison (£6.9m) and even, in some algorithmic corner, Bruno Fernandes (£8.2m) are being mentioned as the men to replace them.
Also within striking distance of the summit is Pras, who was the manager of the month for December with a 60.1 point Gameweek average. Add in a Wildcarding Fabio Borges on six consecutive green arrows and suddenly we have some fierce competition.
Amongst all this, only one manager still has Erling Haaland (£13.9m) and his name is Joe Lepper.
WILDCARD
Talking of Portuguese maestro Fabio’s Wildcard, both he and FPL General pulled the trigger, showing remarkable levels of patience to wait this long.
In fact, their teams are very similar – unsurprising as the template is so strong – with only three differences throughout.
Fabio’s big omission is Palmer, instead opting for Phil Foden (£7.8m). He has shifted to a 3-4-3 formation, having been on 3-5-2 for most of the campaign.
Pervis Estupinan (£4.9m) and Alejandro Garnacho (£4.8m) catch the differential eye, joining both squads along with cut-price defender Malo Gusto (£4.2m).
Bowen is the Son replacement and both wisely held onto Salah for Gameweek 20, so all eyes are on who they bring in to cover during his AFCON adventures.
The full ins and outs are below:
Fabio Borges
IN: Murara Neto, Malo Gusto, Pervis Estupinan, Alejandro Garnacho, Phil Foden, Julian Alvarez
OUT: Matt Turner, George Baldock, Fabian Schar, Hwang Hee-chan, Cole Palmer, Darwin Nunez
FPL General
IN: David Raya, Alphonse Areola, Trent Alexander-Arnold, Amari’i Bell, Pervis Estupinan, Jarrod Bowen, Alejandro Garnacho
OUT: Matt Turner, Alisson Becker, Kostas Tsimikas, Gabriel Magalhaes, Kieran Trippier, Son Heung-min, Anthony Gordon
TRANSFERS
Az has taken a fair amount of stick this season but deserves praise for his Foden move, which brought the highest level of immediate returns on a transfer.
Elsewhere, Alvarez was the most popular move with Andy North also making him captain and thus benching Palmer. Now that was a bad bet!
- Andy LTFPL – Darwin > Alvarez
- Andy North – Archer > Alvarez
- Az – Gordon > Foden
- Ben Crellin – Tsimikas > Walker
- Finn Sollie – Cash > Alexander-Arnold
- FPL Gunz – Kudus > Garnacho, Tsimikas > Alexander-Arnold
- FPL Harry – Archer > Alvarez
- Jan Kepski – No transfers
- Joe Lepper – Adingra > Garnacho
- Jon Ballantyne – Trippier > Walker
- Mark Sutherns – No transfers
- Marko Miseric – Darwin > Alvarez
- Pras – No transfers
- Seb Wassell – No transfers
- Tom Freeman – No transfers
- Zophar – Tsimikas > Alexander-Arnold
GREAT AND THE GOOD TEMPLATE

The Geordie bottom has fallen out of the template, as the poor form of Newcastle United meant Kieran Trippier (£6.8m) and Anthony Gordon (£6.1m) were usurped by Garnacho and William Saliba (£5.6m).
Alvarez is the first of a steady stream of Citizens I expect to enter over the coming weeks. He comes in to replace Darwin Nunez (£7.4m). If training ground snaps are to be believed, Haaland and Kevin De Bruyne (£10.2m) could be next.
DOUBLE-DIGIT HAULS
As this weekend proved, a couple of double-digit scores can propel you up the ranks. Unfortunately, the top two haulers of this season are now away on international duty.

Looking at replacements, Palmer seems a must-have if he’s not already taking pride of place in your squad. Those who have kept faith in Gordon will hope Newcastle can regain some momentum – both are on four double-digits.
Alternatively, it’s worth noting that if you like explosive returns, names like Martin Odegaard (£8.4m), Pascal Gross (£6.4m) and Bernardo Silva (£6.5m) look better bets than Bowen. The West Ham United star has managed just one so far and that was before Mohammed Kudus (£6.9m) left for AFCON.
As for The Great and The Good, Ben Crellin’s surge has no doubt been aided by the 32 double-digit tallies. He could even afford to bench five of them, which sees him top of this particular metric.

CONCLUSION
There’s a gap in proceedings for now and it’s a good time to mention the p-word, as patience will probably win out when deciding which midfielder to draft into your squad.
I wouldn’t worry too much as I suspect most of us will be trying to work out how to fit Haaland into our squads come deadline day.
As always, if you want to dig further into the data, have a read of the Mini-League Mate dossier. Under ‘Join an existing league’, just enter your name and email address alongside the league code MLM0001. It’s all free!
Anyway, that’s all from me for now, but remember – don’t have FPL nightmares.
For those affected by any of the topics raised above, you can find me here on Twitter.


